TECNOLOGÍA DE LA CONFECCIÓN TEXTIL

 (C) EDYM, España, 2007 - (C) Maria de Perinat, 1997

ISBN 978-84-88615-10-7

ISBN 84-88615-10-8

Depósito Legal V-4811-2009

Si le interesa esta obra completa y desea adquirirla, clic aquí
Segunda Parte / El proceso industrial textil, de la materia prima a los acabados de las telas
Capítulo 10
Los colorantes 

Los colorantes 

Definición. 1. Colorantes naturales1.1 Colorantes naturales de origen animal. Introducción. 1.1.1 La cochinilla. 1.1.2 La púrpura. 1.1.3 Laccifer lacca. 1.1.3.1 Historia. 1.1.3.2 Cría del gusano y cosecha de la laca. 1.1.3.3 El pigmento Laccifer lacca. 1.1.3.4 Exportadores de Laccifer laca en La India. 1.1.4 Grana quermes. 1.2 Colorantes naturales de origen vegetal. 1.2.1 El índigo. 1.2.2 El palo campeche. 1.2.3 El ébano. 1.2.4 El achiote.  1.2.5 La Garcinia vilersiana. 1.2.6 El padauk. 1.2.7 El yellow kha. 1.2.8 La hierba pastel. 1.2.9 Retama de tintoreros. 1.2.10 El zumaque.  1.3 Colorantes minerales 2. Colorantes artificiales. 2.1 Colorantes artificiales ácidos. 2.1.1 Tintura de lana en colorantes ácidos. 2.2 Colorantes básicos. 2.3 Colorantes artificiales directos. a) Colorantes azoicos. b) Colorantes tiazólicos. 2.4 Colorantes artificiales a la tina. 2.5 Colorantes dispersos. 2.6 Colorantes sulfurosos. 2.7  Colorantes premetalizados. 2.8 Colorantes reactivos.

 

 

2. Colorantes artificiales

2.7  Colorantes premetalizados
Se trata de soluciones tintóreas creadas mediante un proceso químico previo a la fase de tintura; en este caso el procedimiento es el siguiente: una o varias moléculas de colorante, generalmente ácido, se asocian con un átomo metálico formando un complejo molecular con afinidad por las fibras proteicas y poliamídicas. La formación de este complejo químico se consigue calentando una solución acuosa del cromóforo con una sal de cromo trivalente, siempre en un medio de ph por debajo de 4. Si bien se obtiene con ellos una extensa gama de colores, estos adolecen de falta de brillo en azules, verdes y violetas. Suelen aplicarse a tejidos inencogibles. 

 

2.8  Colorantes reactivos
Como se indicó al principio del capítulo, estos colorantes son empleados en la tintura de fibras celulósicas, mediante reacción química con las moléculas de celulosa. 
    • Colorantes reactivos que forman ésteres de celulosa
    • Colorantes reactivos que forman éteres de celulosa
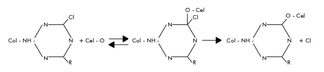
Los primeros tienen anillos heterocíclicos en su molécula y su reacción se basa en sustitución nucleófila, como se expone en el gráfico que representa su estructura molecular. 
De entre los segundos, unos son vinisulfónicos y otros acriloilamídicos. Su reacción se basa en el doble enlace -C=C- que son capaces de formar en un medio alcalino, adicionando núcleos. 
 
    Colorante-SO2-CH2-CH2-O-SO3
      [mediante OH-]  produce: 
        Colorante-SO2-CH(-DELTA)=CH2(+DELTA)+Cel-O- 
    Colorante-SO2-CH-CH2-O-Cel 
      [ediante H+] produce Colorante tintóreo -SO2-CH2-O-Cel
LA TINTURA CON ESTE TIPO DE COLORANTES
SE REALIZA EN TRES ETAPAS
PRIMERA ETAPA
Absorción del colorante por la fibra,  en un medio neutro y con adición de electrolito, seguida de una absorción en medio alcalino
En el proceso de la absorción el colorante se difunde hacia el interior de la fibra, donde es atrapado por las cadenas moleculares celulósicas. Estos colorantes son escasos en afinidad pero poseen un elevado coeficiente de difusión
  • La etapa de absorción se da en baño de ph neutro. A la elevación de ph aumentaría la cantidad de colorante que reaccionaría con el agua y sería menos lo que fuera absorbido por la fibra.
  • Los electrolitos influyen en el agotamiento de estos colorantes. La cantidad de sal a utilizar se relaciona con la concentración de colorante en el baño.
  • La temperatura del baño es inversamente proporcional al agotamiento del colorante.
  • El tipo de fibra condiciona también el proceso de absorción.
SEGUNDA ETAPA
Reacción del colorante con los hidroxilos de la celulosa y del agua en medio alcalino
La reacción que se da entre el colorante y el agua es de la forma siguiente:
    Colorante-Cl+OH- =  Colorante-OH+Cl-
La reacción del colorante con la fibra sería: 
    Colorante-Cl+Cel-O- = Colorante-O-Cel+Cl-
La velocidad de reacción del colorante con la fibra es varios cientos de veces mayor que la velocidad de reacción del colorante con el agua. Diferencia ésta que aumenta al aumentar la concentración de colorante en el agua, y disminuye al aumentar el agotamiento del colorante.
Producen matices de coloreado muy vivos y brillantes.
 
TERCERA ETAPA
Eliminación del colorante hidrolizado, pero sin fijación covalente con la celulosa
Para la eliminación del colorante hidrolizado que esté en el baño, se deshecha sencillamente éste vaciando la máquina. Para eliminar el colorante hidrolizado en la fibra se lava ésta en caliente.
 

 
Ejemplos de colorantes reactivos
Grupo reactivo
Año aparición
Nombre comercial

Diclorotriazinicos
1956
Proción M (I.C.I.)

Monoclorotriazinicos
1957
Cibacron ( CIBA )
Proción H (I.C.I.)
Vinilsulfónicos
Colorante - S02 -  CH2 - CH2 - SO3H
1958
Remazol ( de Hoechst )

Triclorotriazinicos
1960
Drimaren ( de Sandoz)
Reacton ( de Geigy)
Vinilsulfónamidicos

Colorante - S02 - NH -  CH2 - CH2 - OSO3H

1960
Levafix (de Bayer )

Vinilsulfónicos
1967
Solidazol N ( de C.F.M. )

Monocloro-difluor-pirimidinicos
1971
Drimaren R ( Sandoz)

 

Capítulo 10 inicio

Capítulo siguiente

Index de esta parte

     

TECNOLOGÍA DE LA CONFECCIÓN TEXTIL

 (C) EDYM, España, 2007 - (C)Maria de Perinat, 1997